公路水泥混凝土路面设计规范 JTG D40-2002
2019-07-31 09:38:21

——弯沉
——钢纤维长度
——面层板长度| 公路技术等级 | 高速公路 | 一级公路 | 二级公路 | 三、四级公路 |
| 安全等级 | 一级 | 二级 | 三级 | 四级 |
| 设计基准期(a) | 30 | 30 | 20 | 20 |
| 目标可靠度(%) | 95 | 90 | 85 | 80 |
| 目标可靠指标 | 1.64 | 1.28 | 1.04 | 0.84 |
| 变异水平等级 | 低 | 低~中 | 中 | 中~高 |
| 变异水平等级 | 低 | 中 | 高 |
| 水泥混凝土弯拉强度、弯拉弹性模量 | cv ≤ 0.10 | 0.10 < cv ≤ 0.15 | 0.15 <cv≤0.20 |
| 基层顶面当量回弹模量 | cv ≤ 0.25 | 0.25 < cv ≤ 0.35 | 0.35<cv≤0.55 |
| 水泥混凝土面层厚度 | cv ≤ 0.04 | 0.04 < cv ≤ 0.06 | 0.06<cv≤0.08 |
(3 .0 .3)| 变异水平等级 |
目标可靠度(%) | |||
| 95 | 90 | 85 | 80 | |
| 低 | 1.20~1.33 | 1.09~1.16 | 1.04~1.08 | — |
| 中 | 1.33~1.50 | 1.16~1.23 | 1.08~1.13 | 1.04~1.07 |
| 高 | — | 1.23~1.33 | 1.13~1.18 | 1.07~1.11 |
(3.0.4-1)
(3.0.4-2 )
(3.0.4-3 )
(3.0.4-4 )
——轴型和轴载级位数;
——各类轴型
——轴-轮型系数,单轴-双轮组时,
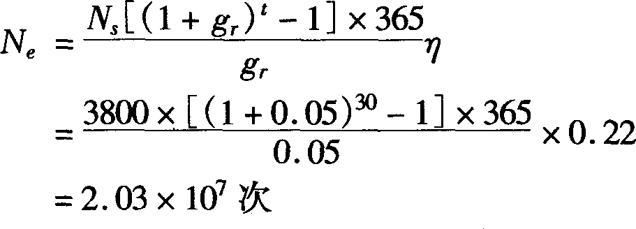
=1;单轴-单轮时,按式(3.0.4-2)计算;双轴-双轮组时,按式(3.0.4-3)计算;三轴-双轮组时,按式(3.0.4-4)计算。| 交通等级 | 特重 | 重 | 中等 | 轻 |
| 设计车道标准轴载累计作用次数Ne(104) | >2000 | 100~2000 | 3~100 | <3 |
| 交通等级 | 特重 | 重 | 中等 | 轻 |
| 水泥混凝土的弯拉强度标准值(MPa) | 5.0 | 5.0 | 4.5 | 4.0 |
| 钢纤维混凝土的弯拉强度标准值(MPa) | 6.0 | 6.0 | 5.5 | 5.0 |
| 路基干湿 类型 |
路基土质 | 当地最大冰冻深度(m) | |||
| 0.50~1.00 | 1.01~1.50 | 1.51~2.00 | >2.00 | ||
| 中湿路基 | 低、中、高液限粘土 | 0.30~0.50 | 0.40~0.60 | 0.50~0.70 | 0.60~0.95 |
| 粉土,粉质低、中液限粘土 | 0.40~0.60 | 0.50~0.70 | 0.60~0.85 | 0.70~1.10 | |
| 潮湿路基 | 低、中、高液限粘土 | 0.40~0.60 | 0.50~0.70 | 0.60~0.90 | 0.75~1.20 |
| 粉土,粉质低、中液限粘土 | 0.45~0.70 | 0.55~0.80 | 0.70~1.00 | 0.80~1.30 | |
| 公路自然区划 | Ⅱ、Ⅴ | Ⅲ | Ⅳ、Ⅵ | Ⅶ |
| 最大温度梯度(℃/m) | 88~83 | 90~95 | 86~92 | 93~98 |
| 交通等级 | 基层类型 |
| 特重交通 | 贫混凝土、碾压混凝土或沥青混凝土基层 |
| 重交通 | 水泥稳定粒料或沥青稳定碎石基层 |
| 中等或轻交通 | 水泥稳定粒料、石灰粉煤灰稳定粒料或级配粒料基层 |
| 基层类型 | 厚度适宜的范围(mm) |
| 贫混凝土或碾压混凝土基层 | 120~200 |
| 水泥或石灰粉煤灰稳定粒料基层 | 150~250 |
| 沥青混凝土基层 | 40~60 |
| 沥青稳定碎石基层 | 80~100 |
| 级配粒料基层 | 150~200 |
| 多孔隙水泥稳定碎石排水基层 | 100~140 |
| 沥青稳定碎石排水基层 | 80~100 |
| 面层类型 | 适用条件 |
| 连续配筋混凝土面层 | 高速公路 |
| 沥青上面层与连续配筋混凝土或横缝设传力杆的普通混凝土下面层组成的复合式路面 | 特重交通的高速公路 |
| 碾压混凝土面层 | 二级及二级以下公路、服务区停车场 |
| 钢纤维混凝土面层 | 标高受限制路段、收费站、混凝土加铺层和桥面铺装 |
| 矩形或异形混凝土预制块面层 | 服务区停车场、二级及二级以下公路桥头引道沉降未稳定段 |
| 交通等级 | 特重 | 重 | ||||||
| 公路等级 | 高速 | 一级 | 二级 | 高速 | 一级 | 二级 | ||
| 变异水平等级 | 低 | 中 | 低 | 中 | 低 | 中 | 低 | 中 |
| 面层厚度(mm) | ≥260 | ≥250 | ≥240 | 270~240 | 260~230 | 250~220 | ||
| 交通等级 | 中等 | 轻 | ||||
| 公路等级 | 二级 | 三、四级 | 三、四级 | 三、四级 | ||
| 变异水平等级 | 高 | 中 | 高 | 中 | 高 | 中 |
| 面层厚度(mm) | 240~210 | 230~200 | 220~200 | ≤230 | ≤220 | |
| 公路等级 | 高速公路、一级公路 | 二、三、四级公路 |
| 一般路段 | 0.70~1.10 | 0.50~0.90 |
| 特殊路段 | 0.80~1.20 | 0.60~1.00 |

| 面层厚度 (mm) |
到自由边或未设拉杆纵缝的距离(m) | |||||
| 3.00 | 3.50 | 3.75 | 4.50 | 6.00 | 7.5 | |
| 200~250 | 14×700×900 | 14×700×800 | 14×700×700 | 14×700×600 | 14×700×500 | 14×700×400 |
| 260~300 | 16×800×900 | 16×800×*800 | 16×800×700 | 16×800×600 | 16×800×500 | 16×800×400 |


| 面层厚度(mm) | 传力杆直径 | 传力杆最小长度 | 传力杆最大间距 |
| 220 | 28 | 400 | 300 |
| 240 | 30 | 400 | 300 |
| 260 | 32 | 450 | 300 |
| 280 | 35 | 450 | 300 |
| 300 | 38 | 500 | 300 |






(6.1.2)| 钢 筋 类 型 | 最 小 直 径 | 纵向最大间距 | 横向最大间距 |
| 光面钢筋 | 8 | 150 | 300 |
| 螺纹钢筋 | 12 | 350 | 750 |
(7.4.3)
——混凝土试配弯拉强度的均值(MPa);
——混凝土弯拉强度标准值(MPa);| 公路等级 |
判别概率 p |
样 本 数 n | ||||
| 3 | 6 | 9 | 15 | 20 | ||
| 高速公路 | 0.05 | 1.36 | 0.79 | 0.61 | 0.45 | 0.39 |
| 一级公路 | 0.10 | 0.95 | 0.59 | 0.46 | 0.35 | 0.30 |
| 二级公路 | 0.15 | 0.72 | 0.46 | 0.37 | 0.28 | 0.24 |
| 三、四级公路 | 0.20 | 0.56 | 0.37 | 0.29 | 0.22 | 0.19 |
| 等 级 | 优 良 | 中 | 次 | 差 |
| 断板率(%) | ≤5 | 6~10 | 11~20 | >20 |
| 平均错台量(mm) | ≤5 | 6~10 | 11~15 | >15 |
(8.3.2)
——接缝传荷系数;
——未受荷板接缝边缘处的弯沉值;
——受荷板接缝边缘处的弯沉值。| 等级 | 优良 | 中 | 次 | 差 |
| 接缝传荷系数k j (%) | >80 | 56~80 | 31~55 | <31 |
(8.4.1)
——旧混凝土面层测量厚度的标准值(mm);
——旧混凝土面层量测厚度的均值(mm);
——旧混凝土面层厚度量测值标准差(mm)。
(8.4.2-1)
(8.4.2-2)
——旧混凝土弯拉强度标准值(MPa);
——旧混凝土劈裂强度标准值(MPa);
——旧混凝土劈裂强度测定值的均值(MPa);
——旧混凝土劈裂强度测定值的标准差(MPa)。
(8.4.3)
——旧混凝土的弯拉弹性模量标准值(MPa);
——旧混凝土的弯拉强度标准值(MPa)。
(8.4.4-1)
(8.4.4-2)
——基层顶面的当量回弹模量标准值(MPa);
——路面结构的荷载扩散系数;
——荷载中心处弯沉值(μm);
、
、
——距离荷载中心300mm、600mm和900mm处的弯沉值(μm)。| 单向车道数 | 1 | 2 | 3 | ≥4 |
| 车道分配系数 | 1.0 | O.8~1.0 | O.6~O.8 | 0.5~0.75 |

| 公路等级 | 纵缝边缘处 | |
| 高速公路、一级公路、收费站 | 0.17~0.22 | |
| 二级及二级以下公路 | 行车道宽>7m | 0.34~O.39 |
| 行车道宽≤7m | O.54~0.62 | |

| 公路等级 | 高速公路 | 一级公路 | 二级公路 | 三、四级公路 |
| kc | 1.30 | 1.25 | 1.20 | 1.10 |


——钢纤维的长度(mm);
——钢纤维的直径(mm)。







——板长,即横缝间距(m)。
| 系 数 | 公路自然区划 | |||||
| II | III | Ⅳ | V | Ⅵ | V11 | |
| a | 0.828 | 0.855 | 0.841 | 0.871 | 0.837 | 0.834 |
| b | 0.041 | 0.041 | 0.058 | 0.071 | 0.038 | 0.052 |
| c | 1.323 | 1.355 | 1.323 | 1.287 | 1.382 | 1.270 |







——系数,可由图D.2.1查取;
| ha(m) | 公路自然区划 | |||
| Ⅱ、Ⅴ | Ⅲ | Ⅳ、Ⅵ | Ⅶ | |
| 0.00 | 83~88 | 90~95 | 86~92 | 93~98 |
| 0.04 | 58~62 | 62~67 | 60~65 | 66~70 |
| 0.08 | 40—43 | 46~48 | 43—49 | 47~50 |
| 0.12 | 28—30 | 30~32 | 29~3l | 3l~33 |



| 土 组 | 公路自然区划 | ||||
| Ⅱ | Ⅲ | Ⅳ | Ⅴ | Ⅵ | |
| 土质砂 | 26~42 | 40~50 | 39~50 | 35~60 | 50~60 |
| 粘质土 | 25~45 | 30~40 | 25~45 | 30~45 | 30~45 |
| 粉质土 | 22~46 | 32~54 | 30~50 | 27~43 | 30~45 |
| 材料类型 | 回弹模量(胁) | 材料类型 | 回弹模量(m) |
| 中、粗砂 | 80~100 | 石灰粉煤灰稳定粒料 | 1300~1700 |
| 天然砂砾 | 150~200 | 水泥稳定粒料 | 1300~1700 |
| 未筛分碎石 | 180~220 | 沥青碎石(粗粒式,20℃) | 600~800 |
| 级配碎砾石(垫层) | 200~250 | 沥青混凝土(粗粒式,20℃) | 800~1200 |
| 级配碎砾石(基层) | 250~350 | 沥青混凝土(中粒式,20℃) | 1000~1400 |
| 石灰土 | 200~700 | 多孔隙水泥碎石(水泥剂量9.5%~11%) | 1300~1700 |
| 石灰粉煤灰土 | 600~900 | 多孔隙沥青碎石(20℃,沥 青含量2.5%~3.5%) |
600~800 |
| 弯拉强度(MPa) | 1.0 | 1.5 | 2.0 | 2.5 | 3.0 |
| 抗压强度(MPa) | 5.0 | 7.7 | 11.0 | 14.9 | 19.3 |
| 弯拉弹性模量(GPa) | 10 | 15 | 18 | 21 | 23 |
| 弯拉强度(MPa) | 3.5 | 4.0 | 4.5 | 5.0 | 5.5 |
| 抗压强度(MPa) | 24.2 | 29.7 | 35.8 | 41.8 | 48.4 |
| 弯拉弹性模量(GPa) | 25 | 27 | 29 | 31 | 33 |
| 钢筋种类 | 钢筋直径d (mm) |
屈服强度fsy (MPa) |
弹性模量Es (MPa) |
| R235(Q235) | 8~20 | 235 | 2.1×105 |
| HRB335 | 6~50 | 335 | 2.0×105 |
| HRB400 | 6~50 | 400 | 2.0×105 |
| KL400 | 8~40 | 400 | 2.0×105 |
| 混凝土强度等级 | C30 | C35 | C40 |
| 混凝土抗拉强度标准值ft(MPa) | 3.0 | 3.2 | 3.5 |
| 粘结刚度系数ks(MPa/mm) | 30 | 32 | 34 |
| 连续配筋混凝土干缩应变εsh | O.00045 | O.0003 | O.0002 |
| 轴 型 | A | m | n |
| 单轴-单轮 | 0.00247 | 0.707 | 0.881 |
| 单轴-双轮组 | 0.00175 | 0.862 | 0.905 |
| 双轴-双轮组 | 0.000872 | 0.843 | 0.893 |
| 三轴-双轮组 | 0.000541 | 0.710 | 0.892 |

| 轴 型 | A | m | n |
| 单轴-单轮 | O.00l80 | O.490 | 0.881 |
| 单轴-双轮组 | O.00119 | 0.597 | 0.905 |
| 双轴-双轮组 | O.O00599 | O.585 | O.893 |
| 三轴-双轮组 | 0.000395 | 0.493 | O.892 |












查表3.0.1,二级公路的安全等级为三级,相应于三级安全等级的变异水平等级为中级,目标可靠度为85%。再据查得的目标可靠度和变异水平等级,查表3.0.3,确定可靠度系数
(板顶温度大于板底)作用下也处于受压状态,而负温度梯度产生的应力较小。因而,可不必考虑上层的温度翘曲应力














扫描二维码关注微信